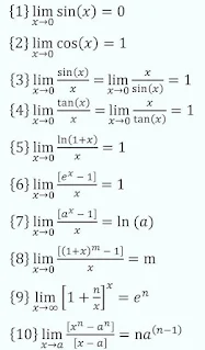
$\{1\} \lim _{x \rightarrow 0} \sin (x)=0$$\{2\} \lim _{x \rightarrow 0} \cos (x)=1$
$\{3\} \lim _{x \rightarrow 0} \frac{\sin (x)}{x}=\lim _{x \rightarrow 0} \frac{x}{\sin (x)}=1$
$\{4\} \lim _{x \rightarrow 0} \frac{\tan (x)}{x}=\lim _{x \rightarrow 0} \frac{x}{\tan (x)}=1$
$\{5\} \lim _{x \rightarrow 0} \frac{\ln (1+x)}{x}=1$
$\{6\} \lim _{x \rightarrow 0} \frac{\left[e^x-1\right]}{x}=1$
$\{7\} \lim _{x \rightarrow 0} \frac{\left[a^x-1\right]}{x}=\ln (a)$
$\{8\} \lim _{x \rightarrow 0} \frac{\left[(1+x)^m-1\right]}{x}=\mathrm{m}$
$\{9\} \lim _{x \rightarrow \infty}\left[1+\frac{n}{x}\right]^x=e^n$
$\{10\} \lim _{x \rightarrow a} \frac{\left[x^n-a^n\right]}{[x-a]}=\mathrm{n} a^{(n-1)}$
Tags
#Math Formula
About Author
Author - BRaj
No comments:
Post a Comment